How does lithium ion migrate?
May 25, 2019 Pageview:785
Until now, there is no completely ideal electrolyte for lithium batteries. The most commonly used organic electrolytes today are high ionic conductivity and a wide temperature range. The development of new electrolytes is imperative because it is easy to catch fire and cause safety accidents. The development of new electrolytes requires a reliable theory to support, but because the electrolyte involves more influencing factors (such as viscosity, salt concentration, dissolution, ion association and ion-solvent interaction), the migration mechanism of ions is not very clear. So, how do lithium ions migrate in organic electrolytes, solid electrolytes, and ionic liquid electrolytes?
First, the organic electrolyte
The electrolyte acts as a carrier inside the lithium battery, which provides a transport path for ion transport between the positive and negative materials. Simply taking the charging process as an example, Li+ is removed from the positive active material, and the Li+ concentration on the surface of the solid phase particles of the positive electrode is lowered, so that a concentration difference occurs between the inside and the surface of the particle, so that the Li+ generates particles to diffuse from the inside to the outside. At the same time, Li+ generated by electrochemical reaction on the surface of the particles enters the electrolyte, and the local concentration of the interface region in the solution phase is increased, causing a difference in concentration inside the solution phase, resulting in diffusion and migration of Li+ from the inside to the outside. In the negative electrode region, since the negative electrode particles electrochemically react with Li+ in the electrolyte, Li+ in the solution phase is consumed, and the Li+ concentration in the solution phase is lowered, resulting in a difference in concentration, resulting in diffusion and migration of Li+ from the outside to the inside in the solution phase.
At the same time, an electrochemical reaction occurs on the surface of the negative electrode particles, and Li+ is intercalated to cause a difference in concentration inside the particles, which causes Li+ to diffuse from the outside to the inside of the particles. At the separator, due to the difference in concentration caused by the positive and negative electrodes, Li+ in this region causes diffusion and migration from the positive electrode to the negative electrode, and the discharge process is opposite to the above process. It can be seen from the above process that the normal and efficient operation of the lithium battery is mainly determined by the migration of lithium ions inside the battery. The migration of lithium ions is restricted by the properties of the electrolyte, and the properties of the electrolyte are mainly affected by the following factors.
1. Lithium salt dissolution
The electrolyte consists of a solute and a solvent. The solute is generally selected from a liquid of a combination of a plurality of organic solvents. When LiPF6 is dissolved in the solvent, lithium ions and PF6 negative ions are formed. The dissolution of the lithium salt is closely related to the dielectric constant of the solvent, and the greater the dielectric constant, the stronger the solubility of the lithium salt. When lithium ions are completely surrounded by solvent molecules, the effect of negative ions on lithium ions is weakened, so-called dissolution occurs. For lithium salts, the larger the anion, the better the ionic conductivity of the electrolyte and its own dissolution, because the larger the anion, the easier it is to disperse its negative charge and prevent the pairing of cations.
2. Electrolyte viscosity
The viscosity of the electrolyte has an important effect on the movement of ions, and the lower the viscosity, the more favorable the movement of ions.

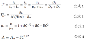
Lithium ions are transported and transferred under the influence of the dissolution and viscosity of the electrode liquid. In formula 1, t+ is the number of transports, i+ and i- represent the current formed by the cation and the anion, respectively, it represents the total current, u± represents the mobility of the anion and cation, and D± represents the diffusion coefficient of the anion and cation.
In fact, the ionic resistance is not only related to anion and cation, but also related to the solvent. The number of ion migrations can be expressed by Equation 2:
Among them, TLi++ represents the number of lithium ion migration, ΔV is the polarization voltage, I(∞) is the steady state current after polarization, and Rb and Rct are the bulk resistance and charge transfer resistance.
The electrolyte of the single-phase solvent system is difficult to have both high conductivity and low viscosity. Therefore, the commonly used electrolyte solvent is formulated by a variety of solvents, such as a binary electrolyte. (Lithium salt) + (1-w) (solvent A) + w (solvent B), the lithium salt m unit is generally a molar concentration, mol / kg, and w is the mass fraction of the solvent. For unit electrolytes, there is no reliable theory to predict the viscosity and ionic conductivity of the electrolyte. Jones–Dole (JD) and Debye–Hückel–Onsager (DHO) have proposed two empirical formulas, Equation 3 and Equation 4:
Where μr is the relative viscosity, μ is the solution viscosity, μ0 is the pure solvent viscosity, C is the lithium salt concentration, A, B, and D are coefficients, Λ is the molar conductivity, and Λ0 is the molar conductivity in the infinite dilution state. S is a parameter that is affected by the physical properties of the solvent and the properties of the electrolyte, and C is the concentration of the solute. The empirical formula also needs to be modified if the types of lithium salts and solvents change. For mixed electrolytes, the formula is more complex.
Therefore, when a new multi-component electrolyte is configured, the performance of the electrolyte needs to be tested to be determined, and the pre-estimation cannot be performed. Although ionic conductivity has a great influence on battery performance, other factors such as the formation and performance of SEI are also very critical factors, and stability, toxicity, and the like of the electrolyte at high magnification should also be considered. In short, all factors related to the actual production application should be considered before considering the ionic conductivity parameters.
Second, solid electrolyte
Compared with liquid organic electrolytes, solid electrolytes have greater advantages for lithium batteries, such as simple design, convenient packaging, good shock and vibration resistance, good temperature and pressure resistance, electrochemical stability and wide range, and safety. Good sex and so on. However, the ionic conductivity of solid electrolytes is relatively limited. In general, solid electrolytes can be classified into gel polymers, solventless polymers, inorganic crystal compounds, inorganic glass materials, and the like. Inside the inorganic crystalline compound, the conduction of lithium ions is due to the migration of mobile ions between the favorable sites of energy of the surrounding potential, and the movement of the surrounding ions provides activation energy for the moving ions to cause them to pass through the channels in the crystal structure.
The ion transport mechanism of the polymer electrolyte is different from that of the inorganic crystal compound and the liquid electrolyte. In solventless polymer electrolytes, the ion mobility is affected by the motion of the polymer host material. The ions move only when the polymer segment undergoes considerable amplitude motion associated with the glass transition temperature (Tg). The polymer electrolyte exhibits a fast ionic conductivity at a temperature higher than the glass transition temperature Tg, in which case the polymer electrolyte is mainly composed of an amorphous phase. Therefore, a polymer having a low glass transition temperature Tg such as PEO (Tg-50 to -57 ° C) has become an important polymer host of a solventless electrolyte, and amorphization of the polymer is being studied as a way of increasing its ionic conductivity. . Gel-type polymer electrolytes exhibit faster ion conduction than solvent-free electrolytes due to the diffusion of low molecular weight solvents in the polymer and the movement of the polymer segments.
Taking PEO as an example, the electrolyte transport mechanism of this type of polymer is as shown in the above figure. After electrification, the segmental motion of the amorphous part of the polymer leads to the repetitive process of Li+'s “decomplexation-recombination” process. Achieve fast migration.
Thin film technology-based solid electrolytes developed in the semiconductor industry have been intensively studied as key components of solid-state micro batteries. The cost of most crystalline and glassy electrolytes developed for micro batteries is too high due to long synthesis times and high temperature conditions in the manufacturing process. In addition to these disadvantages, inorganic materials for solid electrolytes usually contain expensive metals such as Ge, Ti, Sc, In, Lu, La, and Y. Gel-type polymer electrolytes have been commercially successful due to the difficulties encountered in amplifying and applying most solid electrolytes.
Third, ionic liquid electrolyte
Another class of materials that are considered to be electrolytes is ionic liquid. The definition of ionic liquid is currently unclear, and it is generally considered to be a liquid composed entirely of cations and anions, which is a liquid organic salt at room temperature or near room temperature. Ionic liquids have unique properties including non-flammability, low vapor pressure, high thermal stability, good electrochemical stability, low toxicity and high ion content.
Generally, ionic liquids are classified into three types: an AlCl 3 type ionic liquid, a non-AlCl 3 type ionic liquid, and a special ionic liquid. The physicochemical properties of various ionic liquids can be found in the relevant literature. In general, the viscosity of the ionic liquid is one to two orders of magnitude higher than that of the liquid electrolyte, so the ionic conductivity is three to four orders of magnitude lower than the ionic conductivity of the liquid electrolyte. Walden's Law is commonly used for the relationship between conductivity and viscosity of ionic liquids, expressed as follows:
λi is the ionic conductivity of the ion species i, and μ is the viscosity.
Because viscosity is largely determined by the interaction of such influences as van der Waals interactions, conformational degrees of freedom, coulomb forces, and ion shapes, researchers have made considerable efforts to study the interaction of ionic substances in ionic liquids. In addition to low ionic conductivity, ionic liquid electrolytes are unlikely to form SEI layers on carbon anode materials, resulting in depletion of circulating Li ions. Therefore, in many cases, ionic liquids require additives to be used as electrolytes.
The page contains the contents of the machine translation.
Leave Message
Hottest Categories
- Hottest Industry News
- Latest Industry News











